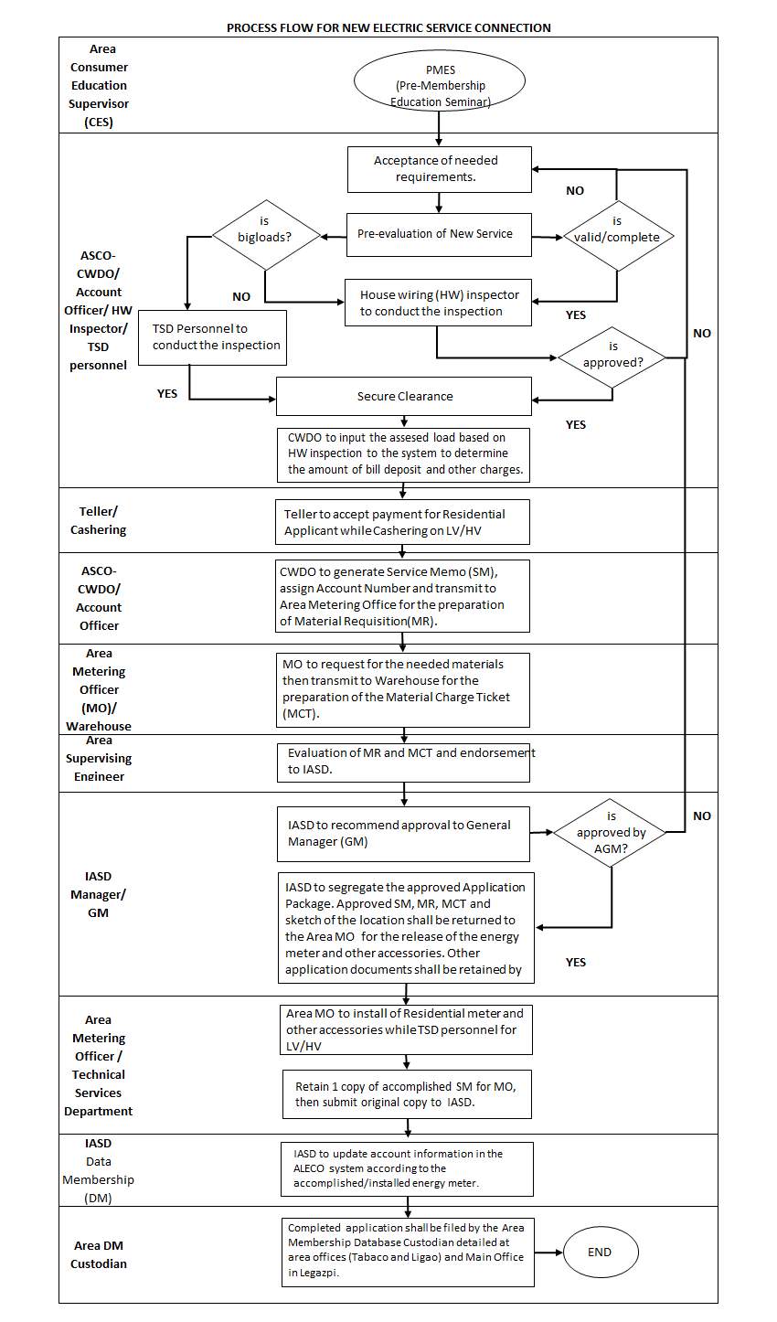
PROCEDURES ON HOW TO APPLY FOR NEW ELECTRICAL SERVICE CONNECTION
(by: Area Consumer Education Supervisor - CES)
Simultaneous Pre-Membership Education Seminars (PMES) will be conducted at the Main Office in Legazpi City and the area offices in Tabaco and Ligao. The PMES shall be conducted weekly, preferably on the following schedule, or any day of the week as the need arises:
Area I: Tuesday (morning)
Area II: Thursday (morning)
Area III: Friday (afternoon)
Following the seminar, attendees will be provided with a Certificate of Attendance and an application package, which includes the Application for New Electric Service Connection, the Application for Membership, and the Contract for Electric Service Connection.
(by: ASCO - Consumer Welfare Desk & Account Officer - CWDAO)
Accept the duly accomplished application package and other applicable documentary requirements for pre-evaluation,as follows:
Evaluate the application forms and requirements and encode the applicant’s information to the ALECO system. Once completed, the application shall be endorsed to the House Wiring Inspector.
(by: House Wiring Inspector / Technical Services Department - TSD)
*For Residential and LV without transformer
Inspect loads based on submitted electrical plan or layout in accordance with the following:
- House Wiring Installation
- General Switch/Circuit Breaker
- Service Entrance
- Service Drop Wire
- *Size, Rating and type
- *Length (from entrance cap to tapping point)
- *Length of wire (from the line source to energy meter), if applicable.
- *Private Service Pole 20ft. In height (if the establishment is 25-30 meters away from ALECO electrical pole.)
- *The size/specifications based on the submitted layout must be followed.
*For High Voltage (HV)/ LV with transformer
Determine the technical details and parameters to ascertain compliance with KVA rating and/or loading requirements. TSD shall include a report on transformer testing for core and copper loss.
- If disapproved, the applicant shall be informed of what to comply including the lacking documents and will be subjected to re-inspection, when necessary.
(by: ASCO - Consumer Welfare Desk & Account Officer - CWDAO)
Issue clearance for the following:
- Arrears
- Differential Billing/Administrative Fees
- a. ALECO - January 2014 and beyond, December 2022 onwards
- b. APEC - February 2014 to November 2022
- The Application package shall remain at the custody of the concerned ASCO until the applicant is cleared of all accountabilities and other requirements are complied. The applicant must be notified by the CWDAO of the status of uncleared application.
(by: ASCO-CWDAO)
- Bill Deposit
- Membership Fee
- Other Charges
(by: ASCO Teller/Cashiering Division)
ASCOTeller to accept payment for Residential Applicant while Cashiering Division on LV/HV.
(by: ASCO-CWDAO)
Accomplish the Checklist for Approval Form and generate Service Order for New Connection (SONC) and Account Number to be attached to the application package.
(by: Surpervising Engineer /Technical Services Department (TSD)/Warehouses)
Supervising Engineer and Warehouse - for evaluation and preparation of Material Requisition (MR) and Material Charge Ticket (MCT) for Residential and LV without transformer.
TSD and Main Warehouse - for testing the transformers for core and copper loss and facilitate the MR and MCT (For LV with transformer and High Voltage (HV)).
(by: CER- Area Consumer Education Supervisor)
Consolidate and ensure the completeness for requirements of new connection and transmit the application package to Institutional Services Department Manager to recommend for approval.
(by: ISD-MANAGER)
Check and review the completeness of the documents and recommends for approval.
(by: GENERAL MANAGER)
Approves Application Package, SONC, MR and MCT.
(by: ISD-MEMBERSHIP DATABASE COORDINATOR)
- Area Supervising Engineer for Residentialand LV without transformer
- TSD will be responsible for LV with transformer and High Voltage (HV) who shall likewise request for the MR and MCT request to Warehouse Main Office.
(by: AREA SUPERVISING ENGINEER/FOREMAN)
- Facilitate the request of energy meter and accessories from the WH and schedule the installation.
- Installation of kWh Meter and Service drop wire based on SONC
- *All uninstalled energy meter and service dropwire should be returned to WH for proper accounting.
(by: GENERAL MANAGER)
Copy of accomplished SONC duly signed by the Foreman must be submitted to ISD for closed out, one (1) shall be retained by the Area Supervising Engineer and/or TSD personnel.
(by: ISD-MEMBERSHIP DATABASE COORDINATOR AND AREA DATABASE CUSTODIAN)
Update account information in ALECO system according to the accomplished/installed energy meter. Completed application shall be close out by ISD and to filed by the Database Custodian detailed at area offices (Tabaco and Ligao) and Main Office in Legazpi for residential consumers, and by the TSD for LV/HV consumers.
